2024-01-08
科研速递-应急医学研究院成果揭示绿地暴露与不良妊娠结局的重要关联
2024-01-08
【引言】
绿地是环境生态的重要组成部分,如公园、森林、道路绿化带等,具有净化空气、吸收噪音、调节城市小气候和缓解心理压力的作用。近些年来,多项科学研究发现,绿地可以降低死亡率,减少心血管疾病、心理疾病和神经系统疾病的发病风险,并能一定程度改善机体炎症状态。早产(PTD)、低出生体重(LBW)、小于胎龄儿(SGA)和大于胎龄儿(LGA)等胎儿的不良妊娠结局,是造成新生儿死亡率增加的重要原因。妊娠期是环境污染物暴露的重要窗口期,研究认为,空气污染中的PM2.5是导致不良妊娠结局的重要因素。越来越多的证据揭示了暴露于绿地的健康益处,然而在中国地区对绿地暴露和不良妊娠结局的研究较少,绿地作为一种人类易接触、易获取的环境资源,在空气污染与不良妊娠结局之间发挥的作用需要得到进一步阐释。
近日,天津大学应急医学研究院侯世科、郭丽琼团队作为第一作者和通讯作者单位,在“Science of the Total Environment”期刊(中科院一区,影响因子9.8)发表研究成果,揭示了孕妇PM2.5、绿地暴露与不良妊娠结局之间的关联,并深入探究绿地暴露在其中的交互作用和中介效应,评估了不同暴露窗口期(孕前、孕早期、孕中期、孕晚期、全孕期)在不同缓冲区(250 m、500 m、1000 m、2000 m)的暴露水平对上述不良妊娠结局的影响。
【研究方法】
本研究依托于ELEFANT人群队列,共纳入2011至2021十年间孕周为24~42周、单胎妊娠的61,762个母婴对。从MOD13Q1和MYD13Q1卫星数据获取归一化植被指数(Normalized Difference Vegetation Index, NDVI)用于评估产妇居住地周围的绿地暴露水平, NDVI作为一种衡量绿地暴露水平的重要指标,它反映了植被对太阳辐射的吸收情况和光合作用的强度,NDVI值的范围一般在-1到1之间,值越接近1,表明绿地水平越高。从CHAP数据集获取每名孕妇孕前和全孕期PM2.5日均暴露水平。统计分析采用以孕周为时间尺度的Cox比例风险回归模型,并校正潜在的混杂因素。以PM2.5每增加10 μg/m³和NDVI每增加0.1单位来评估空气污染物、绿地暴露和不良妊娠结局风险的风险比(hazard ratios,HRs)。采用限制性立方样条(Restricted cubic spline, RCS)图进一步分析空气污染、绿地暴露与不良妊娠结局之间的暴露-反应关系,另外进行了相加交互作用分析和中介效应分析,并进行亚组分析来识别暴露敏感人群。
【研究结果】
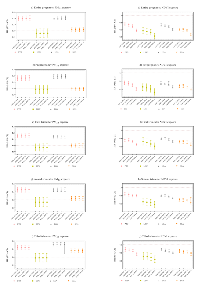
在250 m缓冲区,全孕期PM2.5浓度每增加10 μg/m³, PTD风险增加19.8% (HR:1.198, 95%CI: 1.158 ~ 1.239),LGA风险增加20.7% (HR:1.207, 95%CI: 1.177 ~ 1.239)。相反,绿地暴露与不良妊娠结局风险降低显著相关。全孕期NDVI每增加0.1个单位,PTD、LBW、LGA和SGA的风险分别降低24% (HR:0.760, 95%CI: 0.712-0.811)、43% (HR: 0.570, 95%CI: 0.488-0.666)、26.5% (HR:0.735, 95%CI: 0.702-0.770)、39.5% (HR:0.605, 95%CI: 0.568-0.646)。此外,在500m、1000m和2000m缓冲区内的绿地暴露也表现出相同趋势。
原文图1. 不同暴露窗口期(孕前、孕早期、孕中期、孕晚期、全孕期)在不同缓冲区(250 m、500 m、1000 m、2000 m)的暴露水平对不良妊娠结局的影响
限制性立方样条图显示,当PM2.5浓度分别达到93.83 μg/m³ (PTD)、97.27 μg/m³ (LBW)、88.33 μg/m³ (LGA)和85.58 μg/m³ (SGA)时,不良妊娠结局风险开始呈上升趋势;而随着绿地暴露水平升高,风险呈逐渐下降趋势(NDVI≥0.24)。

原文图2. 250 m缓冲区绿地暴露和空气污染与不良出生结局关联的暴露-反应曲线a)PM2.5-PTD b)PM2.5-LBW c)PM2.5-LGA d)PM2.5-SGA
e)绿地-PTD f)绿地-LBW g)绿地-LGA h)绿地-SGA
注:模型根据母亲和父亲的年龄、孕前BMI、种族、职业、受孕季节、孕次、产次、父母吸烟状况、父母饮酒状况、新生儿性别进行校正。
相加交互作用分析显示,相较于高PM2.5和低NDVI水平的产妇,暴露在低PM2.5和高NDVI水平的产妇发生不良妊娠结局风险更低。在250m缓冲区,孕前暴露对PTD、LGA的交互作用超额相对危险度(The Relative Excess Risk due to Interaction, RERI)分别为-0.63(-0.96,-0.37)和-0.41(-0.61,-0.24),在500m缓冲区全孕期PTD的RERI为-0.2(-0.41,-0.01)。中介分析显示,NDVI在全孕期PM2.5暴露与PTD和LGA的关系中存在中介效应,中介比例分别为7.70%和7.89%。总体而言,较高的绿地水平很可能在不同的暴露窗口期和缓冲期内部分削弱了PM2.5对PTD和LGA的不良影响。

原文图3. 空气污染与不良出生结局之间关联中绿地暴露(NDVI 250 m)的中介分析
注:模型根据母亲和父亲的年龄、孕前BMI、种族、职业、受孕季节、孕次、产次、父母吸烟状况、父母饮酒状况、新生儿性别进行校正。
分层分析显示,在全孕期,仅在年龄<35岁、生活在农村地区、初孕和初产群体中发现绿地暴露与PTD之间的关联存在修饰效应。除此之外,在绿地暴露对LGA的影响中,自述无心理压力人群更能从接触绿地中获益。

原文图4. 250 m缓冲区NDVI与不良妊娠结局关联的分层分析
注:模型根据母亲和父亲的年龄、孕前BMI、种族、职业、受孕季节、孕次、产次、父母吸烟状况、父母饮酒状况、新生儿性别进行校正。
【研究结论】
本研究结果表明,较高的绿地水平可以减少不良妊娠结局的发生,并且可以削弱由PM2.5导致的PTD和LGA风险。下一代的健康和幸福是重要的社会问题,本研究的发现可以为制定更加切实可行的公共卫生策略提供坚实的理论依据,并且提出一种简单易得的降低不良妊娠的干预方式,减轻由大气污染导致的母婴健康负担。
【相关论文信息】
论文标题:
Association of residential greenness, air pollution with adverse birth outcomes: Results from 61,762 mother-neonatal pairs in project ELEFANT (2011-2021)
论文网址:
https://www.sciencedirect.com/science/article/pii/S0048969723081792?via%3Dihub
DOI:
https://doi.org/10.1016/j.scitotenv.2023.169549
【通讯作者介绍】

侯世科:医学博士、主任医师、教授、博士生导师,享受国务院特殊津贴。现任天津大学温州研究院院长,天津大学应急医学研究院名誉院长,中国应急管理学会紧急医学救援工作委员会主委、中华预防医学会卫生应急分会副主委。主持国家科技支撑计划、国家卫计委重大专项课题、国家自然科学基金重点项目等国家级课题5项,获得各类课题共20余项。获国家科技进步二等奖2项、天津市科技进步一等奖2项以及中华医学科技奖等省部级奖励20余项。

郭丽琼:理学博士,硕士生导师,天津大学应急医学研究院副研究员,天津大学温州研究院实验中心主任,天津市创新人才推进计划青年科技优秀人才。研究方向包括新型“高通量表观遗传学检测技术”平台开发、天津市ELEFANT队列构建与分子流行病学研究,主持国家级、省部级项目5项,相关学术成果发表于Environment International、Science of the Total Environment 、International Journal of Epidemiology、Small、Environmental Research等知名期刊。
(图文来源:于媛媛)